
【考点】预备费计算
预备费包括基本预备费和价差预备费。
1.基本预备费
又称不可预见费。它是指在项目实施中,可能发生的难以预料的支出和需要预留的费用,并主要用于设计变更及施工中可能增加工程量的费用。
基本预备费=(工程费用+工程建设其他费)×基本预备费费率
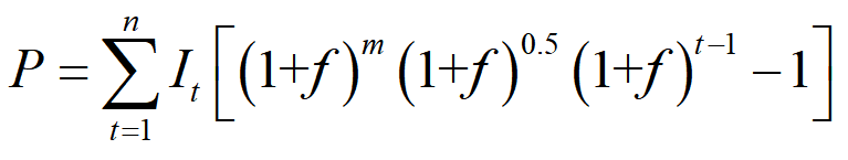
2.价差预备费
价差预备费是指为在建设期内利率、汇率或价格等因素的变化而预留的可能增加的费用,亦称为价格变动不可预见费。价差预备费的内容包括:人工、设备、材料、施工机具的价差费,建筑安装工程费及工程建设其他费用调整,利率、汇率调整等增加的费用。

P——价差预备费;
n——建设期年份数;
It——建设期第t年的投资计划额,包括工程费用、工程建设其他费用及基本预备费,即第t年的静态投资计划额;
f——投资价格指数;
t——建设期第t年;
m——建设前期年限(从编制概算到开工建设年数)。
【考点】资金筹措费计算
资金筹措费包括各类借款利息、债券利息、贷款评估费、国外借款手续费及承诺费、汇兑损益、债券发行费用及其他债务利息支出或融资费用。
1.自有资金额度应符合国家或行业有关规定。
2.建设期利息:建设期利息是指项目借款在建设期内发生并计入固定资产的利息。为了简化计算,在编制投资估算时通常假定借款均在每年的年中支用,借款第一年按半年计息,其余各年份按全年计息。
各年应计利息=(年初借款本息累计+本年借款额/2)×年利率

【考点】项目质量的形成过程和影响因素分析

【考点】全面质量管理思想和方法的应用
一、全面质量管理思想和方法

二、质量管理的PCDA循环

【考点】劳动合同订立的规定
一、订立劳动合同应当遵守的原则
用人单位招用劳动者,不得扣押劳动者的居民身份证和其他证件,不得要求劳动者提供担保或者以其他名义向劳动者收取财物。
二、劳动合同的种类
(一)固定期限劳动合同
用人单位与劳动者约定合同终止时间的劳动合同。
(二)无固定期限劳动合同
用人单位与劳动者约定无确定终止时间的劳动合同。
用人单位与劳动者协商一致,可以订立无固定期限劳动合同。
有下列情形之一,应当订立无固定期限劳动合同:
(1)劳动者在该用人单位连续工作满10年的;
(2)用人单位初次实行劳动合同制度或者国有企业改制重新订立劳动合同时,劳动者在该用人单位连续工作满10年且距法定退休年龄不足10年的;
(3)连续订立2次固定期限劳动合同,且劳动者没有违法乱纪、不能胜任工作等情形,续订劳动合同的。
用人单位自用工之日起满1年不与劳动者订立书面劳动合同的,则视为用人单位与劳动者已订立无固定期限劳动合同。
(三)以完成一定工作任务为期限的劳动合同
以完成一定工作任务为期限的劳动合同,是指用人单位与劳动者约定以某项工作的完成为合同期限的劳动合同。
三、劳动合同的基本条款

【考点】订立劳动合同应当注意的事项
一、建立劳动关系即应订立劳动合同
用人单位自用工之日起即与劳动者建立劳动关系。
已建立劳动关系,未同时订立书面劳动合同的,应当自用工之日起1个月内订立书面劳动合同。
合同有书面形式、口头形式和其他形式。除了非全日制用工可以订立口头协议外,建立劳动关系应当订立书面劳动合同。
用人单位自用工之日起超过1个月不满1年未与劳动者订立书面劳动合同的,应当向劳动者每月支付2倍的工资。

二、劳动报酬和试用期

1.同一用人单位与同一劳动者只能约定一次试用期。
2.试用期包含在劳动合同期限内。
3.劳动合同仅约定试用期的,试用期不成立,该期限为劳动合同期限。
4.试用期工资不得低于本单位相同岗位最低档工资的80%,且不低于当地最低工资;试用期工资不得低于劳动合同约定工资的80%,且不低于当地最低工资。(二选一,有约从约;太低看当地最低工资)
三、劳动合同的生效与无效
劳动合同由用人单位与劳动者协商一致,并经用人单位与劳动者在劳动合同文本上签字或者盖章生效。
双方当事人签字或者盖章时间不一致的,以最后一方签字或者盖章的时间为准;如果一方没有写签字时间,则另一方写明的签字时间就是合同生效时间。
下列劳动合同无效或者部分无效:
1.以欺诈、胁迫的手段或者乘人之危,使对方在违背真实意思的情况下订立或者变更劳动合同的。
2.用人单位免除自己的法定责任、排除劳动者权利的。
3.违反法律、行政法规强制性规定的。
劳动合同被确认无效,劳动者已付出劳动的,用人单位应当向劳动者支付劳动报酬。劳动报酬的数额,参照本单位相同或者相近岗位劳动者的劳动报酬确定。
对劳动合同的无效或者部分无效有争议的,由劳动争议仲裁机构或者人民法院确认。







